How Agents Are Using Coronavirus Clauses to Protect Clients and Plan for the Unknown
- Published on
- 5 min read
-
Summer Rylander Contributing AuthorCloseSummer Rylander Contributing Author
Summer Rylander is a freelance writer and editor with an abundant background in real estate. A former residential real estate agent in the Columbia, SC area and sales administrator at a commercial real estate firm, she now uses this experience to help guide readers. Summer currently resides in Nuremberg, Germany, where she fulfills her passions of food and travel and avoids her dislikes of mayonnaise and being trapped in an office.
As the coronavirus takes its toll on the U.S., real estate agents across the country are navigating the unusual challenges that come with restricted movement, business closures, and serious public health concerns. One major issue — for those who are still trying to help clients buy and sell homes through this crisis — is that real estate contracts are now fraught with unknowns.
Typically, a real estate purchase agreement includes milestone deadlines for steps like the property inspection and appraisal, as well as agreed-upon closing and move-out dates. However, depending on local regulations, it may not be feasible to perform a home inspection on time, complete a title search, or for buyers and sellers to even move house as planned. And what happens if anyone involved in the transaction starts feeling sick?
Given the amount of uncertainty right now, agents are quickly adding a special coronavirus addendum to new and existing contracts to provide some breathing room for delays in this fast-changing environment. They’re also relying on new language and forms for listing agreements and property showings.
We spoke with two agents — one in the Midwest, and one on the East Coast — about how they’re using a coronavirus addendum to protect their clients, how buyers and sellers are reacting to the change, and what these clauses protect against (and what they don’t). We’ll also point to where you can find guidance on coronavirus clauses in your local market if you’re not sure where to look.

What is a coronavirus clause or addendum, and why should you add one to your contracts?
Many types of real estate contracts already have what are known as force majeure provisions. USLegal defines force majeure as “a provision in a contract that excuses a party from not performing its contractual obligations that become impossible or impracticable, due to an event or effect that the parties could not have anticipated or controlled.”
According to the American Bar Association, force majeure language should generally cover contractual obligations that fall through due to the coronavirus — ever since the World Health Organization declared the coronavirus outbreak a pandemic on March 11. That’s because a global pandemic falls reasonably within the parameters of what can be considered an unanticipated or uncontrollable event.
However, due to how fast circumstances are changing, and in the spirit of leaving nothing up to interpretation, Realtor associations in many states are providing agents access to addenda specifically referencing the coronavirus.
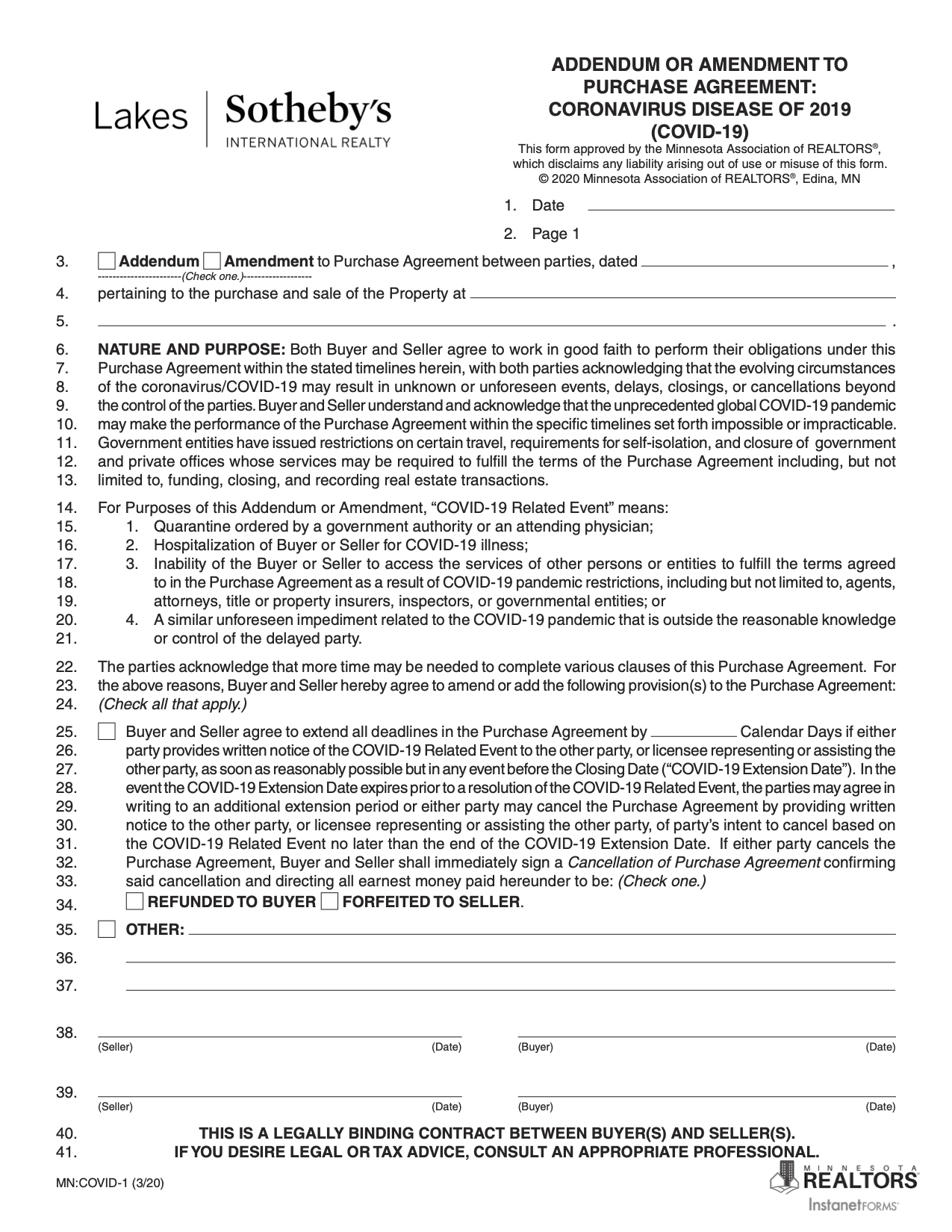
Zach Kirchoff, a Minneapolis-based agent with over 16 years experience, says his firm, Lakes Sotheby’s International Realty, has begun implementing the use of a coronavirus addendum with their purchase agreements. “The Minnesota Realtors Association came out with a COVID-19 clause. It only came out [in mid-March], but we’ve been using it.”
The form, shown below, serves as an addendum or an amendment to purchase agreements in light of the coronavirus disease of 2019, or COVID-19. What this clause outlines allowances for, in a way that differs from standard force majeure provisions, is the additional time parties may need to perform their contractual obligations.
Specifically, this coronavirus clause indicates that, “Buyer and Seller understand and acknowledge that the unprecedented global COVID-19 pandemic may make the performance of the Purchase Agreement within the specific timelines set forth impossible or impracticable.”

The addendum doesn’t grant indefinite relaxation of the timeline, however. Buyers and sellers will agree on a deadline extension, with the earnest money either returned to the buyer or forfeited to the seller should the deal fall through.

When to use a coronavirus clause: Add one until further notice
Even if a deal seems 100% on track, “if you can add the protection, do it,” Kirchoff advises. “There’s absolutely no harm in asking, and we’ve run into a lot of sellers who are more than open to it.”
With property showings slowing down around the country, sellers are more willing than ever to accommodate nervous buyers.
“When we’ve said we have an interested buyer, the sellers are like, ‘hell yeah, throw in the COVID addendum; you can have my third toe if we get an offer accepted right now!’’’ says Kirchoff.
Though evident in the addendum’s language, it’s worth pointing out that a coronavirus clause isn’t meant to serve as an easy out if a buyer or seller is simply fearful of contracting the virus; the clause is in place to offer flexibility during these times of uncertainty.
Consider the various individuals involved in carrying out the following:
- Home inspections
- Appraisals
- Repairs
- Title searches
- Mortgage funding
- Closing proceedings
- Deed recording
When lockdowns and shelter-in-place orders are in effect, businesses and service providers are greatly restricted, and performing certain tasks may be difficult (if not impossible) within the confines of a standard purchase agreement.
By including a coronavirus clause in your purchase agreements that allows both sides to agree on an extension and determine who keeps earnest money if all else fails, you’re protecting both the buyers and sellers involved in the transaction.
The California Association of Realtors (CAR) also has a coronavirus addendum available, explaining that the use of such a clause helps eliminate the risk of uncertainty in court, should things come to such an action. “This form allows parties to agree on a way forward for existing contracts and address potential issues in contracts that have not yet been formed,” CAR’s website explains.
Coronavirus clauses beyond purchase contracts
While a coronavirus addendum may now be a valuable addition to your real estate purchase contracts, some agents are involving clauses much earlier in the process.
Daniel Logan, a Wilmington, DE agent who’s sold 70% more single family homes than average, and is licensed in Delaware, Maryland, and Pennsylvania, is using an attorney-developed COVID-19 certification prior to showing properties.

The document is signed by all parties present at a showing — this includes any agents, sellers, as well as the potential buyers — representing that, to the best of their knowledge, they are not infected with and have not been exposed to the coronavirus.
“It’s basically a hold harmless clause,” explains Logan, acknowledging that showings have slowed considerably for his team in the wake of COVID-19. “Not to sour the juices, but who wants to go into a house when you don’t know what’s been there?”
Similar concern applies for sellers, who, if they’re still living in the house while it’s on the market, must manage the inevitable worries that come with inviting strangers who may or may not be sick into their home.
Logan emphasizes that, while business may be slow for many agents, now is the time for compassion and understanding.
“Everybody’s nerves are on edge, and you can’t push this stuff; it’s not good,” says Logan. “You can’t force somebody to buy something, and the bottom line is that this is all going to wash out. Keep your clients for the future. It might not work for this one, but let’s remember that there’s always another house for somebody another time.”
Given the concerns with timing, Pennsylvania now even has a coronavirus addendum for listing agreements. The clause asks existing sellers to elect (or not) to temporarily remove their property from the market and new sellers to choose whether their listing should begin in “coming soon” or “active” status.

Where to find the right forms or language to protect your contracts
News and regulations surrounding the pandemic are changing often, so it’s important to be proactive with your research. At the time of this writing, the National Association of Realtors is regularly updating their website with coronavirus information, as well as offering recommendations for facilitating transactions during this time.
Many state Realtor associations, such as Minnesota and California, are providing members with a downloadable coronavirus addendum. You can go directly to your state’s association page, or search NAR’s association finder, to see if a ready-made addendum is available for use.
Other helpful resources for coronavirus clauses in your area may include:
- Your brokerage firm
- Your preferred real estate attorney
- Your local real estate commission or licensing board
- Your local MLS
‘Stay calm, cool, and collected’
While it may be difficult to predict how long this pandemic will last or what further restrictions will be put in place to help contain the virus, as an agent, you can take action to advocate for your clients and protect their investments.
Implementing coronavirus clauses into your real estate transactions not only grants timeline flexibility, it helps provide a clear course of action should something happen to the deal as a direct result of circumstances related to COVID-19.
Your clients will be looking to you not only for guidance, but for confidence, too.
“If you stay calm, cool, and collected, generally people will follow your lead,” advises Logan. “This is uncharted territory.”
Header Image Source: (Stock-Asso / Shutterstock)